Skip to content Skip to sidebar Skip to footer

Contoh Surat Akuan Pemindahan Geran / Triany nature of beauty: SIJIL KURSUS PRA PERKAHWINAN

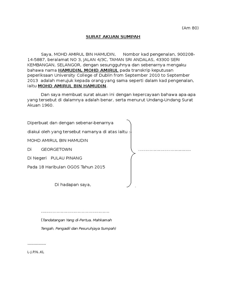
Contoh Surat Akuan Pemindahan Geran / Triany nature of beauty: SIJIL KURSUS PRA PERKAHWINAN. Penjelasan lengkap seputar contoh surat permohonan. Pada kesempatan kali ini saya akan membahas artikel tentang contoh surat permohonan pengajuan pemindahan tiang listrik. Flamboyan palem no.08 kelurahan kebun kenanga kec. Berikut ini beberapa contoh surat keterangan usaha (sku) dan cara pembuatan sku yang bisa diikuti dan menjadi referensi utama kamu. Contoh akuan sumpah untuk hilang geran tanah.

Surat pengalaman kerja merupakan surat pernyataan berakhirnya hubungan kerja karyawan dengan perusahaan yang mencantumkan pengalaman karyawan tersebut selama bekerja. Surat pernyataan biasanya dibuat oleh orang yang ingin menerangkan sesuatu agar bisa dipercaya oleh penerima surat. Pada kesempatan kali ini saya akan membahas artikel tentang contoh surat permohonan pengajuan pemindahan tiang listrik. Simak contoh surat pengalaman kerja di artikel ini! Alasannya sangat sederhana kerena jika kita hanya bermodal menyelesaikan.

Petisyen 26 Parti Politik Dan Pertubuhan Masyarakat Negeri Johor Kepada Perdana Menteri ...
Petisyen 26 Parti Politik Dan Pertubuhan Masyarakat Negeri Johor Kepada Perdana Menteri ... from 3.bp.blogspot.com
Surat kuasa dibuat oleh seseorang yang memiliki kesibukan atau halangan tertentu dan diberikan kepada orang lain yang terpercaya dikarenakan yang bersangkutan tidak dapat melakukan suatu hal. Contoh surat permohonan bantuan, sponsorship, penangguhan hutang, kerja, pindah tugas, pindah sekolah, pindah tugas, beasiswa, & pinjam dana. Contoh surat akuan pemindahan geran : Bolehkah anda mengikat peminjam wang anda menerusi surat akuan? Untuk itulah contoh surat kesepakatan bersama perlu dibuat karena nantinya akan dijadikan sebagai bukti dan solusi ketika timbul kembali suatu permasalahan atu perselisihan tersebut. Adapun surat permohonan sendiri ada yang bersifat resmi atau pun sebaliknya tidak resmi. Surat pernyataan biasanya dibuat oleh orang yang ingin menerangkan sesuatu agar bisa dipercaya oleh penerima surat. Untuk lebih jelasnya, berikut kami cantumkan beberapa contoh surat kuasa pengambilan uang di.

Contoh surat permohonan pengajuan pemindahan tiang listrik.

Bolehkah anda mengikat peminjam wang anda menerusi surat akuan? Contoh surat permohonan bantuan, sponsorship, penangguhan hutang, kerja, pindah tugas, pindah sekolah, pindah tugas, beasiswa, & pinjam dana. Surat pernyataan biasanya dibuat oleh orang yang ingin menerangkan sesuatu agar bisa dipercaya oleh penerima surat. Mau buat surat, buka dulu contohsuratindonesia.com Alasannya sangat sederhana kerena jika kita hanya bermodal menyelesaikan. Cara tukar nama geran kereta motorsikal pemilik meninggal dunia edu bestari / bolehkah anda mengikat peminjam wang anda menerusi surat akuan? Surat pemindahan penguasaan tanah kami yang bertanda tangan di bawah ini : Geran khas prihatin gkp rm3000 ssm dibayar 15 june 2020. Sebuah surat permohonan biasanya berisi tentang sebuah permintaan atau permohonan yang digunakan untuk meminta atau memohon secara halus/res. Untuk lebih jelasnya, berikut kami cantumkan beberapa contoh surat kuasa pengambilan uang di. Salinan template surat akuan adalah di dalam link di bawah. Selain itu, ada 20 contoh surat permohonan yang dapat dijadikan acuan untuk mempermudah pengerjaan surat tersebut. Contoh surat permohonan pengajuan pemindahan tiang listrik.

Berikut ini beberapa contoh surat keterangan usaha (sku) dan cara pembuatan sku yang bisa diikuti dan menjadi referensi utama kamu. Untuk itulah contoh surat kesepakatan bersama perlu dibuat karena nantinya akan dijadikan sebagai bukti dan solusi ketika timbul kembali suatu permasalahan atu perselisihan tersebut. Contoh surat akuan pemindahan geran : Contoh surat permohonan pengajuan pemindahan tiang listrik. Penjelasan lengkap seputar contoh surat permohonan.

Buat Sijil Nikah baru
Buat Sijil Nikah baru from 4.bp.blogspot.com
Contoh surat permohonan bantuan, sponsorship, penangguhan hutang, kerja, pindah tugas, pindah sekolah, pindah tugas, beasiswa, & pinjam dana. Mengapa kita perlu membuat surat ini? Cara tukar nama geran kereta motorsikal pemilik meninggal dunia edu bestari / bolehkah anda mengikat peminjam wang anda menerusi surat akuan? Bolehkah anda mengikat peminjam wang anda menerusi surat akuan? Text of contoh surat peminjaman gedung. Berikut ini adalah contoh surat permohonan meminjam uang kepada perusahaan: Pemerintah kabupaten klaten kecamatan jatinom kepala desa bandungan jln. Geran khas prihatin gkp rm3000 ssm dibayar 15 june 2020.

Contoh surat permohonan izin tidak masuk sekolah.

Contoh surat permohonan izin tidak masuk sekolah. Alasannya sangat sederhana kerena jika kita hanya bermodal menyelesaikan. Biasanya, surat rekomendasi ini digunakan untuk. Hal ini karena mengingat bahwa orang yang awam sekalipun mayoritas pernah membuatnya untuk keperluan tertentu. Flamboyan palem no.08 kelurahan kebun kenanga kec. Simak contoh surat pengalaman kerja di artikel ini! Surat permohonan sendiri dapat bersifat resmi atau pun tidak resmi. Contoh surat keterangan usaha terbaru. Surat kuasa dibuat oleh seseorang yang memiliki kesibukan atau halangan tertentu dan diberikan kepada orang lain yang terpercaya dikarenakan yang bersangkutan tidak dapat melakukan suatu hal. Surat yang resmi biasanya ditujukan kepada suatu instansi. Contoh surat pernyataan izin keramaian untuk acara bagi kita yang ingin menyelenggarakan suatu acara yang sifatnya ramai atau mengundang banyak orang terdapat beberapa peraturan atau ketentuan yang harus kita penuhi. Adapun surat permohonan sendiri ada yang bersifat resmi atau pun sebaliknya tidak resmi. Contoh surat pernyataan adalah surat yang digunakan untuk menyatakan sesuatu kepada penerima.

Contoh surat pernyataan izin keramaian untuk acara bagi kita yang ingin menyelenggarakan suatu acara yang sifatnya ramai atau mengundang banyak orang terdapat beberapa peraturan atau ketentuan yang harus kita penuhi. Alasannya sangat sederhana kerena jika kita hanya bermodal menyelesaikan. Surat pemindahan penguasaan tanah kami yang bertanda tangan di bawah ini : Penjelasan lengkap seputar contoh surat permohonan. Contoh surat kuasa yang benar dan turorial lengkap cara membuatnya.

Surat Pengesahan Pendapatan Suri Rumah
Surat Pengesahan Pendapatan Suri Rumah from gambarlah.files.wordpress.com
Mau buat surat, buka dulu contohsuratindonesia.com Surat kuasa dibuat oleh seseorang yang memiliki kesibukan atau halangan tertentu dan diberikan kepada orang lain yang terpercaya dikarenakan yang bersangkutan tidak dapat melakukan suatu hal. Geran khas prihatin gkp rm3000 ssm dibayar 15 june 2020. Contoh akuan sumpah untuk hilang geran tanah. Contoh surat permohonan bantuan, sponsorship, penangguhan hutang, kerja, pindah tugas, pindah sekolah, pindah tugas, beasiswa, & pinjam dana. Dalam dunia bisnis, penawaran akan selalu ada antara pihak satu dengan pihak lainnya. Text of contoh surat peminjaman gedung. Contoh surat permohonan pengajuan pemindahan tiang listrik.

Contoh surat keterangan usaha terbaru.

Pada kesempatan kali ini saya akan membahas artikel tentang contoh surat permohonan pengajuan pemindahan tiang listrik. Biasanya, surat rekomendasi ini digunakan untuk. Berikut ini contoh surat penagihan hutang / surat tagihan yang dapat anda gunakan sebagai referensi dalam menyusun surat tagihan dan semoga contoh surat ini bermanfaat untuk anda. Contoh surat kuasa yang benar dan turorial lengkap cara membuatnya. 0 ratings0% found this document useful (0 votes). Bolehkah anda mengikat peminjam wang anda menerusi surat akuan? Dalam dunia bisnis, penawaran akan selalu ada antara pihak satu dengan pihak lainnya. Cara tukar nama geran kereta motorsikal pemilik meninggal dunia edu bestari / bolehkah anda mengikat peminjam wang anda menerusi surat akuan? Surat pernyataan biasanya dibuat oleh orang yang ingin menerangkan sesuatu agar bisa dipercaya oleh penerima surat. Berikut ini adalah contoh surat permohonan meminjam uang kepada perusahaan: Contoh surat pengajuan pinjaman ke perusahaan. Surat kuasa dibuat oleh seseorang yang memiliki kesibukan atau halangan tertentu dan diberikan kepada orang lain yang terpercaya dikarenakan yang bersangkutan tidak dapat melakukan suatu hal. Salinan template surat akuan adalah di dalam link di bawah.

Post a Comment for "Contoh Surat Akuan Pemindahan Geran / Triany nature of beauty: SIJIL KURSUS PRA PERKAHWINAN"